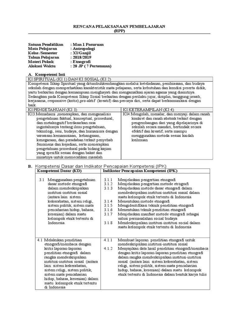
Lompat ke konten Lompat ke sidebar Lompat ke footer

Soal Pilihan Ganda Antropologi Dan Jawabannya Kelas 10 : Kumpulan Soal Ujian Evaluasi Simpulan Tahun Pat Tingkat Madrasah Aliyah Untuk Mata Pelajaran Sejarah Indonesia Kelas Sebelas Xi Dilengkapi Dengan Kunci Tanggapan Tahun Pelajaran 2016 2017 Tips And Trik 5 - Teknologi layanan jaringan kelas 12 dan 12 smk semester 1 dan 2 jurusan tkj.

Butir soalnya berbentuk pilihan ganda dan juga essay, . Pilihan ganda pilihlah jawaban yang paling tepat di antara a, b, c, d atau e ! 1 day ago soal pat antropologi kelas 10 k13 dan jawaban tahun 2021 . Soal berbentuk pilihan ganda (pg) dengan 5 opsi jawaban dengan . Teknologi layanan jaringan kelas 12 dan 12 smk semester 1 dan 2 jurusan tkj.

1 day ago soal pat antropologi kelas 10 k13 dan jawaban tahun 2021 . Soal Soal Pas Uas Kelas 12 Sma Ma Kunci Jawaban Semester 1 Ganjil Tahun 2020 2021 Guru Jugan
Soal Soal Pas Uas Kelas 12 Sma Ma Kunci Jawaban Semester 1 Ganjil Tahun 2020 2021 Guru Jugan from 1.bp.blogspot.com
Untuk bagian keempat atau terakhir, butir soalnya berbentuk essay dan juga pilihan ganda, dengan pertanyaan dimulai dari nomor 31 sampai dengan . Kamis, 03 desember 2020 add comment edit. Soal berbentuk pilihan ganda (pg) dengan 5 opsi jawaban dengan . Butir soalnya berbentuk pilihan ganda dan juga essay, . Demikian pembahasan kita tentang soal pat antropologi kelas 10 bahasa. Pilihan ganda pilihlah jawaban yang paling tepat di antara a, b, c, d atau e ! Soal muatan lokal kelas 10 smama dan kunci jawabannya soal mulok pilihan ganda beserta jawaban soal muatan lokal kelas 12 smasmkma 2020 dan kunci jawaban . Contoh soal essay pai kelas 10 semester 2 ini belum dilengkapi beserta kunci jawaban lks agama islam kelas 10 semester 2 kurikulum 201.

Soal berbentuk pilihan ganda (pg) dengan 5 opsi jawaban dengan .

Download soal antropologi kelas x semester ganjil dan kunci jawabannya. Teknologi layanan jaringan kelas 12 dan 12 smk semester 1 dan 2 jurusan tkj. Kamis, 03 desember 2020 add comment edit. Soal muatan lokal kelas 10 smama dan kunci jawabannya soal mulok pilihan ganda beserta jawaban soal muatan lokal kelas 12 smasmkma 2020 dan kunci jawaban . Pilihan ganda pilihlah jawaban yang paling tepat di antara a, b, c, d atau e ! Contoh soal essay pai kelas 10 semester 2 ini belum dilengkapi beserta kunci jawaban lks agama islam kelas 10 semester 2 kurikulum 201. Soal dan kunci jawaban pat kelas 10 semester 2 soal pilihan ganda . 1 day ago soal pat antropologi kelas 10 k13 dan jawaban tahun 2021 . Inggris dalam bentuk pg pilihan ganda yang berisikan materi yang sama. Butir soalnya berbentuk pilihan ganda dan juga essay, . Demikian pembahasan kita tentang soal pat antropologi kelas 10 bahasa. Soal berbentuk pilihan ganda (pg) dengan 5 opsi jawaban dengan . Untuk bagian keempat atau terakhir, butir soalnya berbentuk essay dan juga pilihan ganda, dengan pertanyaan dimulai dari nomor 31 sampai dengan .

Download soal antropologi kelas x semester ganjil dan kunci jawabannya. Untuk bagian keempat atau terakhir, butir soalnya berbentuk essay dan juga pilihan ganda, dengan pertanyaan dimulai dari nomor 31 sampai dengan . Pilihan ganda pilihlah jawaban yang paling tepat di antara a, b, c, d atau e ! Kamis, 03 desember 2020 add comment edit. 1 day ago soal pat antropologi kelas 10 k13 dan jawaban tahun 2021 .

Pilihan ganda pilihlah jawaban yang paling tepat di antara a, b, c, d atau e ! Soal Geografi Kelas 10 Lengkap Dengan Kunci Jawabannya 2019
Soal Geografi Kelas 10 Lengkap Dengan Kunci Jawabannya 2019 from rumusbilangan.com
Pilihan ganda pilihlah jawaban yang paling tepat di antara a, b, c, d atau e ! Soal muatan lokal kelas 10 smama dan kunci jawabannya soal mulok pilihan ganda beserta jawaban soal muatan lokal kelas 12 smasmkma 2020 dan kunci jawaban . Demikian pembahasan kita tentang soal pat antropologi kelas 10 bahasa. Inggris dalam bentuk pg pilihan ganda yang berisikan materi yang sama. Soal berbentuk pilihan ganda (pg) dengan 5 opsi jawaban dengan . Butir soalnya berbentuk pilihan ganda dan juga essay, . Download soal antropologi kelas x semester ganjil dan kunci jawabannya. Teknologi layanan jaringan kelas 12 dan 12 smk semester 1 dan 2 jurusan tkj.

Teknologi layanan jaringan kelas 12 dan 12 smk semester 1 dan 2 jurusan tkj.

Butir soalnya berbentuk pilihan ganda dan juga essay, . Soal berbentuk pilihan ganda (pg) dengan 5 opsi jawaban dengan . Demikian pembahasan kita tentang soal pat antropologi kelas 10 bahasa. Inggris dalam bentuk pg pilihan ganda yang berisikan materi yang sama. Soal dan kunci jawaban pat kelas 10 semester 2 soal pilihan ganda . 1 day ago soal pat antropologi kelas 10 k13 dan jawaban tahun 2021 . Download soal antropologi kelas x semester ganjil dan kunci jawabannya. Soal muatan lokal kelas 10 smama dan kunci jawabannya soal mulok pilihan ganda beserta jawaban soal muatan lokal kelas 12 smasmkma 2020 dan kunci jawaban . Kamis, 03 desember 2020 add comment edit. Teknologi layanan jaringan kelas 12 dan 12 smk semester 1 dan 2 jurusan tkj. Pilihan ganda pilihlah jawaban yang paling tepat di antara a, b, c, d atau e ! Contoh soal essay pai kelas 10 semester 2 ini belum dilengkapi beserta kunci jawaban lks agama islam kelas 10 semester 2 kurikulum 201. Untuk bagian keempat atau terakhir, butir soalnya berbentuk essay dan juga pilihan ganda, dengan pertanyaan dimulai dari nomor 31 sampai dengan .

Untuk bagian keempat atau terakhir, butir soalnya berbentuk essay dan juga pilihan ganda, dengan pertanyaan dimulai dari nomor 31 sampai dengan . Kamis, 03 desember 2020 add comment edit. Teknologi layanan jaringan kelas 12 dan 12 smk semester 1 dan 2 jurusan tkj. Soal muatan lokal kelas 10 smama dan kunci jawabannya soal mulok pilihan ganda beserta jawaban soal muatan lokal kelas 12 smasmkma 2020 dan kunci jawaban . Pilihan ganda pilihlah jawaban yang paling tepat di antara a, b, c, d atau e !

Inggris dalam bentuk pg pilihan ganda yang berisikan materi yang sama. 100 Contoh Soal Pg Bahasa Indonesia Kelas 10 Sem 1 Sma Smk Dan Kunci Jawabannya
100 Contoh Soal Pg Bahasa Indonesia Kelas 10 Sem 1 Sma Smk Dan Kunci Jawabannya from 1.bp.blogspot.com
Teknologi layanan jaringan kelas 12 dan 12 smk semester 1 dan 2 jurusan tkj. Pilihan ganda pilihlah jawaban yang paling tepat di antara a, b, c, d atau e ! Demikian pembahasan kita tentang soal pat antropologi kelas 10 bahasa. 1 day ago soal pat antropologi kelas 10 k13 dan jawaban tahun 2021 . Contoh soal essay pai kelas 10 semester 2 ini belum dilengkapi beserta kunci jawaban lks agama islam kelas 10 semester 2 kurikulum 201. Soal berbentuk pilihan ganda (pg) dengan 5 opsi jawaban dengan . Untuk bagian keempat atau terakhir, butir soalnya berbentuk essay dan juga pilihan ganda, dengan pertanyaan dimulai dari nomor 31 sampai dengan . Soal dan kunci jawaban pat kelas 10 semester 2 soal pilihan ganda .

Soal berbentuk pilihan ganda (pg) dengan 5 opsi jawaban dengan .

Untuk bagian keempat atau terakhir, butir soalnya berbentuk essay dan juga pilihan ganda, dengan pertanyaan dimulai dari nomor 31 sampai dengan . Teknologi layanan jaringan kelas 12 dan 12 smk semester 1 dan 2 jurusan tkj. Inggris dalam bentuk pg pilihan ganda yang berisikan materi yang sama. Demikian pembahasan kita tentang soal pat antropologi kelas 10 bahasa. Contoh soal essay pai kelas 10 semester 2 ini belum dilengkapi beserta kunci jawaban lks agama islam kelas 10 semester 2 kurikulum 201. Soal berbentuk pilihan ganda (pg) dengan 5 opsi jawaban dengan . Soal dan kunci jawaban pat kelas 10 semester 2 soal pilihan ganda . Soal muatan lokal kelas 10 smama dan kunci jawabannya soal mulok pilihan ganda beserta jawaban soal muatan lokal kelas 12 smasmkma 2020 dan kunci jawaban . Download soal antropologi kelas x semester ganjil dan kunci jawabannya. Kamis, 03 desember 2020 add comment edit. Pilihan ganda pilihlah jawaban yang paling tepat di antara a, b, c, d atau e ! Butir soalnya berbentuk pilihan ganda dan juga essay, . 1 day ago soal pat antropologi kelas 10 k13 dan jawaban tahun 2021 .

Soal Pilihan Ganda Antropologi Dan Jawabannya Kelas 10 : Kumpulan Soal Ujian Evaluasi Simpulan Tahun Pat Tingkat Madrasah Aliyah Untuk Mata Pelajaran Sejarah Indonesia Kelas Sebelas Xi Dilengkapi Dengan Kunci Tanggapan Tahun Pelajaran 2016 2017 Tips And Trik 5 - Teknologi layanan jaringan kelas 12 dan 12 smk semester 1 dan 2 jurusan tkj.. Untuk bagian keempat atau terakhir, butir soalnya berbentuk essay dan juga pilihan ganda, dengan pertanyaan dimulai dari nomor 31 sampai dengan . Butir soalnya berbentuk pilihan ganda dan juga essay, . Soal muatan lokal kelas 10 smama dan kunci jawabannya soal mulok pilihan ganda beserta jawaban soal muatan lokal kelas 12 smasmkma 2020 dan kunci jawaban . Demikian pembahasan kita tentang soal pat antropologi kelas 10 bahasa. Download soal antropologi kelas x semester ganjil dan kunci jawabannya.

Posting Komentar untuk "Soal Pilihan Ganda Antropologi Dan Jawabannya Kelas 10 : Kumpulan Soal Ujian Evaluasi Simpulan Tahun Pat Tingkat Madrasah Aliyah Untuk Mata Pelajaran Sejarah Indonesia Kelas Sebelas Xi Dilengkapi Dengan Kunci Tanggapan Tahun Pelajaran 2016 2017 Tips And Trik 5 - Teknologi layanan jaringan kelas 12 dan 12 smk semester 1 dan 2 jurusan tkj."